当前位置:肿瘤瞭望>资讯>正文

肥胖与肿瘤之间的相爱相杀

作者:肿瘤瞭望   日期:2020/1/7 11:31:51  浏览量:17207

肿瘤瞭望版权所有,谢绝任何形式转载,侵犯版权者必予法律追究。

众所周知,肥胖几乎与心脑血管疾病、内分泌疾病等如影相随。

众所周知,肥胖几乎与心脑血管疾病、内分泌疾病等如影相随。两年前BMJ杂志的一项大规模研究表明,肥胖和多达11种肿瘤的关系密切,并附以视频说明(见下图)而引起热烈讨论。去年《柳叶刀肿瘤学》的一项研究显示,在330例接受PD-1抑制剂治疗的晚期黑色素瘤患者中,超重患者较正常体重患者的总生存可长达13个月左右。肥胖在肿瘤发生发展过程中扮演的角色显得扑朔迷离。近日,《JAMA肿瘤学》和《柳叶刀肿瘤学》报道的两项研究,分别探索了晚期NSCLC免疫检查点抑制剂治疗中BMI和OS的相关性,肾透明细胞癌瘤周脂肪微环境。肥胖与肿瘤发生以及患者生存预后“相爱相杀”的矛盾性,需要进一步研究探索其背后答案。
 
 
晚期NSCLC免疫治疗,PD-L1高表达患者的BMI与OS显著相关
 
Baumann BC等的一项汇总分析中,纳入了BIRCH、FIR4、POPLAR、OAK等4个国际多中心临床试验的患者数据。对照组(来自POPLAR和OAK)和试验组分别每3周给予多西他赛和阿替利珠单抗治疗直至疾病进展或不能耐受。研究共分析了4个试验汇总的2110例患者数据。其中,阿替利珠单抗组1434例(男性890例),中位年龄64岁(57~70岁);多西他赛组676例(男性419例),中位年龄岁(57~69岁)。
 
结果显示,阿替利珠单抗治疗患者的BMI增加与OS呈线性相关。调整混杂变量后可见,肥胖(BMI≥30)与阿替利珠单抗治疗患者的OS改善显著相关,而在多西他赛治疗患者中未见显著相关性。在PD-L1高表达患者中,BMI与OS/PFS的相关性最强。PD-L1表达最高的患者(肿瘤细胞≥50%或肿瘤浸润免疫细胞≥10%;n=436)中,肥胖患者总生存HR为0.36(95%CI:0.21~0.62),无进展生存HR为0.68(95%CI:0.49~0.94),无进展生存HR为0.72(95%CI:0.56~0.92)。治疗相关不良事件与BMI无相关性。
 
 
Take home message:高BMI似乎与非小细胞肺癌患者使用阿替利珠单抗改善生存独立相关,在未来的免疫检查点抑制剂治疗试验中,可将基线BMI视为分层因素。

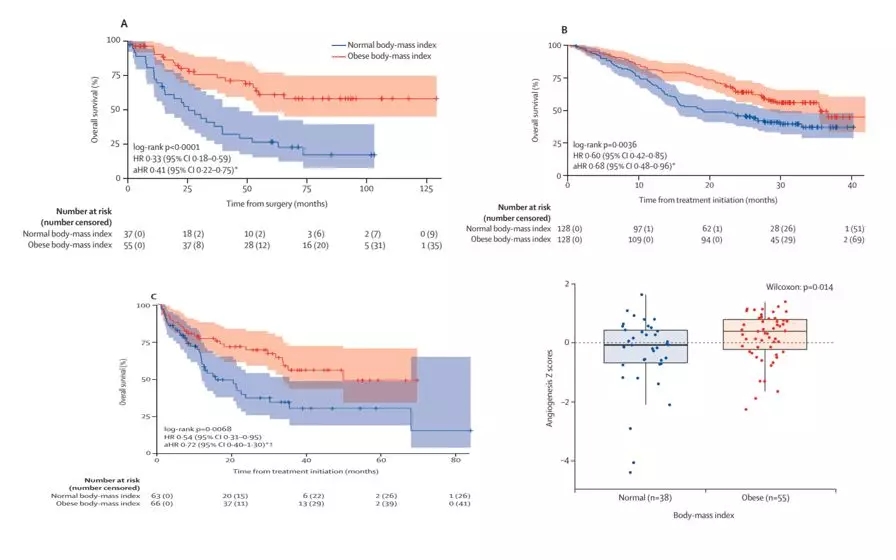
肾透明细胞癌肥胖患者的OS优势,或与瘤周脂肪组织微环境相关
 
Sanchez A等评估了来自COMPARZ试验、TCGA、MSK中的5个肾透明细胞癌的独立临床队列数据。分析了肥胖(BMI>30)和正常体重(BMI 18.5~24.9)患者的总生存期,即从治疗开始时间(在对照组和MSK免疫治疗组)或手术(TCGA队列)到任何原因死亡的时间,并在另外一个前瞻性收集的非转移性肾透胞细胞癌患者队列(MSK瘤周脂肪组织队列)中,比较了瘤周脂肪组织和肿瘤组织的基因表达差异。研究者还分析了肥胖患者和正常体重患者的基因表达差异,以及MSK肾切除术后局部肾癌患者的肿瘤免疫微环境。
 
结果显示,在TCGA队列和COMPARZ试验中,肥胖患者的总生存较正常体重患者更长(TCGA:调整分期、分级后的HR为0.41;95%CI 0.22~0.75;COMPARZ:调整IMDC风险评分后的HR为0.68,95%CI 0.48~0.96)。在MSK免疫治疗队列中,调整IMDC风险评分后,BMI与死亡率的负相关不显著(HR 0.72,95%CI 0.40~1.30)。肥胖患者的肿瘤在基因集富集分析中显示出比正常体重患者更高的血管生成分数,但免疫细胞浸润的程度与BMI没有差异。此外,肥胖患者的瘤周脂肪组织炎症较正常体重者增加,尤其是肿瘤附近的瘤周脂肪。
 
 
Take home message:该研究发现肾透明细胞癌肿瘤和瘤周脂肪组织中的肿瘤微环境随BMI的变化而变化,这可能有助于与正常体重患者相比,肥胖患者有更明显的生存优势。透明细胞肾癌肿瘤与瘤周脂肪组织微环境的复杂相互作用可能具有临床意义,值得进一步研究。
 
参考资料:
1. Baumann BC,Mitra N,Harton JG,et al.Comparative Effectiveness of Proton vs Photon Therapy as Part of Concurrent Chemoradiotherapy for Locally Advanced Cancer.JAMA Oncol 2019;:.DOI:10.1001/jamaoncol.2019.4889
2. Sanchez A,Furberg H,Kuo F,et al.Transcriptomic signatures related to the obesity paradox in patients with clear cell renal cell carcinoma: a cohort study.Lancet Oncol 2019;:.DOI:10.1016/S1470-2045(19)30797-1

本内容仅供医学专业人士参考


肥胖

分享到: 更多