当前位置:肿瘤瞭望>资讯>正文

肥胖或可导致鼻咽癌风险增加

作者:肿瘤瞭望   日期:2019/7/24 9:55:05  浏览量:20213

肿瘤瞭望版权所有,谢绝任何形式转载,侵犯版权者必予法律追究。

鼻咽癌(NPC)是我国高发的恶性肿瘤之一,其预后较差。

文摘:鼻咽癌(NPC)是我国高发的恶性肿瘤之一,其预后较差。目前,诸多研究旨在探讨NPC患病风险因素,但获得明确定论的并不多。近期,Cancer Medicine杂志上发表了一项研究,旨在探讨BMI及体型与鼻咽癌(NPC)患病的相关性。
 
背景:鼻咽癌(NPC)在东南亚、北非以及中国南部地区发病率显著高于世界其它地区。而目前的资料显示,NPC的发病主要与基因易感性、EB病毒感染以及环境因素有关。研究显示,BMI及体型与某些恶性肿瘤的发病存在相关性,比如直肠癌、食管癌、肾细胞癌等。然而在鼻咽癌领域尚无相关研究,故本研究旨在探讨BMI及体型与鼻咽癌患病风险之间的关系。
 
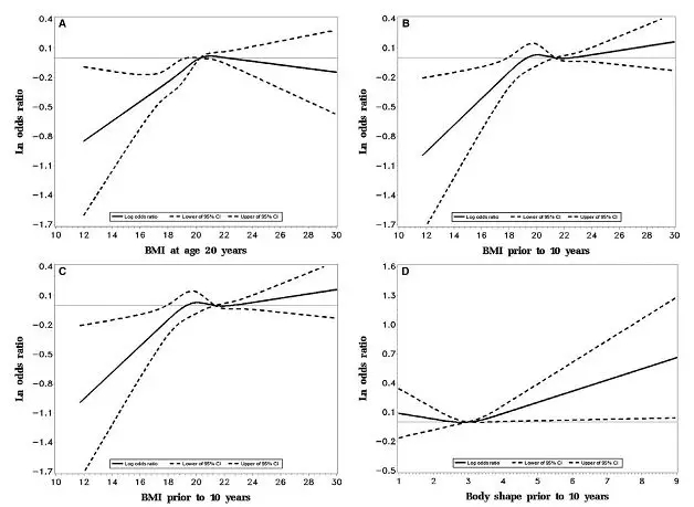
方法:本研究是一个大型、以中国南部人口(主要是两广)为基础的病例-对照研究。研究共纳入2010~2014年经组织病理学确诊的鼻咽癌患者共2448例,BMI分类按照WHO亚洲人群指南进行:体重过轻 (<18.5 kg/m2),体重正常 (18.5~22.9 kg/m2),超重 (23.0~27.4 kg/m2),肥胖 (≥27.5 kg/m2)。体型数据则通过体型评分表获得,共分为5类,即1、2、3、4和5~9。本研究收集的身高、体重及体型数据为受试者20岁时、距受试10年前的。使用非条件性logistic回归计算调整的OR值及95%置信区间(CI)。
 
结果:①与正常体重相比较,20岁时体重过轻组人群患NPC的风险率降低22%(OR 0.78,95%CI:0.67~0.90),但是肥胖也并不显著增加患NPC风险。②受试10年前的BMI与患NPC的风险率相关性与20岁时相仿。③就体型评分而言,最苗条组较正常体型组NPC风险无显著差异,但是正常体型以上的患者NPC风险增高(OR 1.25,95%CI:1.03~1.52)。
 
BMI及体型评分与NPC患病相关性
 
结论:20岁及受试10年前体重过轻与NPC风险下降显著相关。20岁时体型较大与NPC风险增高显著相关。
 
讨论: 本研究是首个大规模研究BMI与NPC发病风险的病例-对照研究,并且首次应用体型这一指标加入衡量。先前小规模的研究中有的得出与本研究相似的结论,而有的则认为BMI与NPC发病呈负相关。考虑可能和发病时已有体重减轻,混杂因素影响以及质量控制较弱相关。本研究的不足之处在于数据的收集依赖受试者回忆,可能存在误报及回忆偏倚。此外,本研究中超重人群比例较低,可能增加数量后会更支持高BMI与NPC发病风险的相关性。
 
参考文献:
 
Feng R , Chang ET , Liu Z , et al. Body mass index, body shape, and risk of nasopharyngeal carcinoma: A population-based case-control study in Southern China. Cancer Med.  2019, 8(4):1835-1844.

本内容仅供医学专业人士参考


鼻咽癌

分享到: 更多

相关幻灯